Sem descrição.
25/06/2025
Publico
LIBRARY ieee;
USE ieee.std_logic_1164.all;
ENTITY estados IS
PORT (
clk : IN std_logic;
saida: out std_logic_vector(1 downto 0)
);
END estados;
ARCHITECTURE logica OF estados IS
type MEUS_ESTADOS is (A,B,C,D);
signal state: MEUS_ESTADOS;
BEGIN
process (clk)
begin
if (clk'event and clk='1') then
case state is
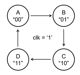
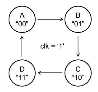
when A =>
saida <= "01";
state <= B;
when B =>
saida <= "10";
state <= C;
when C =>
saida <= "11";
state <= D;
when D =>
saida <= "00";
state <= A;
end case;
end if;
end process;
END logica;Também é possível desacoplar a saída dos estados para outro process
LIBRARY ieee;
USE ieee.std_logic_1164.all;
ENTITY estados IS
PORT (
clk : IN std_logic;
saida: out std_logic_vector(1 downto 0)
);
END estados;
ARCHITECTURE logica OF estados IS
type MEUS_ESTADOS is (A,B,C,D);
signal state: MEUS_ESTADOS;
BEGIN
process (clk)
begin
if (clk'event and clk='1') then
case state is
when A => state <= B;
when B => state <= C;
when C => state <= D;
when D => state <= A;
end case;
end if;
end process;
process (state)
begin
case state is
when A => saida <= "01";
when B => saida <= "10";
when C => saida <= "11";
when D => saida <= "00";
end case;
end process;
END logica;LIBRARY ieee;
USE ieee.std_logic_1164.all;
ENTITY estados IS
PORT (
KEY: in std_logic_vector(0 to 1);
SWITCH: in std_logic_vector(0 to 0);
LED: out std_logic_vector(0 to 1)
);
END estados;
ARCHITECTURE logica OF estados IS
type MEUS_ESTADOS is (A,B,C,D);
signal state: MEUS_ESTADOS;
signal clk, reset, dir: std_logic;
signal saida: std_logic_vector(0 to 1);
BEGIN
clk <= key(0);
reset <= key(1);
dir <= SWITCH(0);
LED <= saida;
process (clk, reset, dir)
begin
if (clk'event and clk='1') then
if (reset = '0') then
state <= A;
else
if (dir = '1') then
case state is
when A =>
state <= B;
when B =>
state <= C;
when C =>
state <= D;
when D =>
state <= A;
end case;
else
case state is
when A =>
state <= D;
when B =>
state <= A;
when C =>
state <= B;
when D =>
state <= C;
end case;
end if;
end if;
end if;
end process;
process (state)
begin
case state is
when A => saida <= "00";
when B => saida <= "01";
when C => saida <= "10";
when D => saida <= "11";
end case;
end process;
END logica;Faça uma máquina de estados MOORE que controle a movimentação de um motor de passos (passo completo 1) com controle do sentido de rotação. Use clock 50MHz para clk (0,5 Hz), e DIP [0] para a direção. Como saída use LED [0-3]. Faça pelo modelo 2.
LIBRARY ieee;
USE ieee.std_logic_1164.all;
ENTITY estados IS
PORT (
SWITCH: in std_logic_vector(0 to 0);
CLOCK_50: in std_logic;
LED: out std_logic_vector(0 to 3)
);
END estados;
ARCHITECTURE logica OF estados IS
type MEUS_ESTADOS is (A,B,C,D);
signal state: MEUS_ESTADOS;
signal dir: std_logic;
signal saida: std_logic_vector(0 to 3);
BEGIN
dir <= SWITCH(0);
LED <= saida;
process (clock_50, dir)
variable clk : std_logic := '1';
variable contador : natural range 0 to 10;
begin
if rising_edge(clock_50) then
contador := contador + 1;
if contador = 10 then
contador := 0;
clk := not clk;
end if;
end if;
if (clk'event and clk='1') then
if (dir = '1') then
case state is
when A =>
state <= B;
when B =>
state <= C;
when C =>
state <= D;
when D =>
state <= A;
end case;
else
case state is
when A =>
state <= D;
when B =>
state <= A;
when C =>
state <= B;
when D =>
state <= C;
end case;
end if;
end if;
end process;
process (state)
begin
case state is
when A => saida <= "1100";
when B => saida <= "0110";
when C => saida <= "0011";
when D => saida <= "1001";
end case;
end process;
END logica;Contem erro